新增相机信息菜单
新增相机信息菜单,可设置相机内参,提升第三方相机建模精度。
1、在导入照片数据后,大疆智图会读取照片文件夹中第一张照片的相机信息。点击相机信息右侧的查看按钮,可在相机参数设置页面查看/编辑相机信息。
相机信息
2、使用大疆以外品牌的相机/负载采集的数据,用户可以在相机信息页面中,根据从相机厂家获取的数据,设置对应的相机名称、35mm 等效焦距等信息。
相机信息页面
3、在使用多镜头相机时,需将不同相机拍摄的照片放在不同的文件中,再点击文件夹按钮,根据每个文件夹单独设置相机信息。
多个文件夹分别设置内参的功能
4、可在高级设置中调整相机内参,解决因相机内参不准确导致建图精度较差的问题。使用大疆以外品牌的相机,可根据从相机厂家获取的相机内参数据进行填写。
注意,不同厂家采用的畸变模型不同,参数需要根据不同模型进行调整。
大疆智图采用的畸变模型为:
其中:
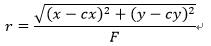
△x,△y为像点改正值;
x,y为像方坐标系下的像点坐标,坐标系如下图所示;
cx,cy为像主点,F为镜头的焦距。
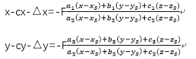
由此,引入畸变差后的共线方程为:
像方坐标系
在固定相机参数菜单中,如果选择固定相机内参,则该相机进行计算时,智图不会再重新计算 F、CX、CY 数据。该项适用于纯正射数据(没有高程优化)。如选择固定全部,则智图不会再重新计算相机信息,适用于已有最优解内参,如已通过高精度标定或已有任务计算得出过最优解内参的情况。
新增七参数转换功能
新增七参数转换功能,可实现任意两组坐标系之间的转换。
1、在使用大疆智图进行二维重建或三维重建时,选择任意坐标系选项的七参数转换设置,可实现从 WGS84、CGCS2000 等大地坐标系到地方投影坐标系的转换。
七参数转换设置
需要注意的是,大疆智图仅支持由自身软件计算出的七参数进行转换,不支持输入第三方的七参数。在计算七参数菜单中,计算七参数需要导入.txt和.csv格式的数据。数据信息和格式要求如下:
坐标点名:纬度(B、度格式)、经度(L、度格式)、高程(H)、东(x)、北(y)、高(z)
注意:txt文件使用逗号(,)制表符作为列分隔符,请确保至少3组坐标用于七参数计算。
数据示意
2、在导入数据后应进行检查,B/L/H和x/y/z的数据是否正确对应纬/经/高以及东/北/高的顺序。注意:x东坐标一般为6或8位,y北坐标一般为7位。同时表头等无关信息,可通过操作菜单列中-进行删除。
计算七参数
3、点击计算功能后,可看到七参数计算结果以及转换误差。推荐转换误差小于预期成果精度的0.5倍(如要求成果精度为5cm,则建议转换误差小于0.025),可以得到较高精度转换结果。如果误差较大,可删除转换误差较大的选项重新计算。确认转换误差达到要求后,点击应用完成七参数计算并应用该七参数。
剔除粗差
4、若后续在同一区域进行数据处理,可直接点击导出功能,将七参数以JSON格式进行保存。后续直接通过导入进行调取复用即可,无需重新计算。
注意:用于七参数计算的坐标数据,分布原则类似地面控制点的原则。应均匀分布在测区周围,不要求一定在测区内,但是不可集中在测区局部小范围内。否则得到的七参数即使得到很高的转换误差,但是在远离计算数据的区域,实际上会产生较大偏移。
二维可见光及多光谱重建功能更新
光照均衡和薄雾优化功能
新增光照均衡
开启光照均衡会对重建模型同时进行光照均衡和去雾处理,可改善在农田场景中,由于土地或作物冠层平滑,在强光照环境下会产生类似镜面反射的效果,导致照片一边亮一边暗,重建成果出现“渐变“条纹的现象。
光照均衡优化对比(左优化前、右优化后)
新增薄雾优化
开启薄雾优化仅去雾,不会进行光照均衡。
二维地图坐标测量功能更新
点测量增加高度信息
二维正射模型的点坐标测量增加高程测量,显示的高程为 DSM 的高程值。
高度信息
线测量新增坡度信息
线测量时,除了原有的水平距离、直线距离、垂直距离外,新增坡度信息。
坡度信息
二维地图压缩瓦片大小
大疆智图优化了二维地图瓦片大小,在不影响模型效果的情况下,文件大小比例压缩至原本的三分之一。特别是在 web 端的加载速度得到有效提升,有助于优化数据的交互处理和应用效果。
三维重建自定义设置新增分块模式
在三维重建中, 为保证效率,大疆智图会根据电脑内存设置最大分块。但有些场景(如导入第三方修模软件)需要小的分块,此时可以自定义设置分块大小,大疆智图新增以下分块模式:
自动:获取设备当前的可用内存,自动最大化分块,并可显示内存分块信息。
自动分块
自定义内存:输入单块最大分配内存,软件将依据输入的内存值进行分块。
自定义内存分块
自定义边长:根据用户输入的单块边长进行平面分块,软件界面会显示当前距离下的分块所需内存以及分块数量。
自定义分块起始点:开启后可自定义分块原点的坐标系及坐标值,在模型更新的场景中,可以设置统一的分块起始点,替换对应块即可完成模型更新,该功能需要配合自定义模型原点功能一同使用,才能达到良好的分块模型更新功能体验。
自定义模型原点
当需要将多个任务成果,同时在模型平台上进行展示时,可将多个任务的模型原点设置为同一坐标,即可同步展示。以osgb格式为例,为了减少文件存储大小,每个osgb文件中写的都是基于模型原点的相对坐标。
自定义模型原点
模型原点坐标系与输出坐标系应保持一致,设置完成后开始重建。则OSGB、OBJ、PLY成果的模型原点将被设置成输入点的坐标,原点位置会写入metadata.xml文件中。
输入点的坐标
此外,模型需要局部更新时,可将新的任务模型与原任务模型的原点设置为相同的点。更新的模块会直接替换,实现模型局部更新。
优化三维重建移动物体贴图效果
三维重建时,大疆智图会自动去除移动物体的贴图,无需人工操作。
该优化机制生效的前提是,在采集照片时记录到物体如车辆、人群进行了位移,才能被识别出来,进行去除优化。若车辆、人群等目标物体,在所有照片里都停在同一个点,则不会被识别出来进行优化。
移动物体贴图效果优化(左优化前、右优化后)
优化三维重建水面平整功能
在进行三维重建时,测区内的水面区域往往会导致网型异常,为后期修模增加工作量。大疆智图新增三维重建水面平整功能。
水面平整功能
功能选项开启后,能自动识别区域内的水面,进行平整,在倒影、漏识别、误识别上有明显改善,减少水面平整破洞情况,大幅提升模型美观性,降低后期修模成本。
未启用三维重建水面平整
启用三维重建水面平整
点云成果新增合并功能
在进行 DJI L1 点云数据处理,或可见光三维重建生成“点云成果”时,可能因为原始数据存储在多个文件夹或内存太小,导致成果拆分成多个点云文件。
成果合并
大疆智图新增“点云成果合并”功能,功能开启后将多个点云文件合并生成一个完整的点云文件,此功能支持的点云格式包括 LAS、PLY、PCD 三种。
高程精度检查
激光雷达点云数据处理功能更新
新增高程精度检查
大疆智图支持激光雷达点云任务导入检查点,进行高程精度检查,在质量报告中自动生成高程差报告。该功能的原理是在检查点周边一定范围内,将点云进行内插,附和到检查点的平面位置,并对比高程差。因此检查点应部署在平坦表面,避开墙角等位置。
检查点统计报告
在激光雷达点云高级设置中的精度检查菜单中,完成检查点的导入,建模后即可在质量报告中获取检查结果。
导入检查点的示意图
新增点云平滑功能
无人机激光雷达进行数据采集时,时常出现点云过厚的问题。特别是对硬质平面如平地、路面、山坡进行测量时,如激光雷达采集的点云厚度过厚,地面点提取效果较差,导致测绘精度不理想。
点云平滑
大疆智图新增点云平滑功能。开启点云平滑后,即可有效压薄点云,优化地面点的提取效果,提升地物特征的呈现和成果精度。
本效果图中被测物为柏油马路硬质地面
平滑前点云厚度约为 14.4cm 左右,平滑后降至 5cm
点云密度支持以物理距离采样
大疆智图支持在点云密度项中设置以物理距离采样,可在固定的距离范围内,有效降低点云的数量,使点云密度更加均匀。
点云密度按物理距离采样功能入口
可设置 5-50cm 的点云采样距离。需注意的是,如果距离过大则可能产生点云稀疏的问题,建议根据项目实际需求设置采样距离。
其他项目更新
1、优化重建任务复制功能,支持复制重建参数及空三成果。
2、优化像控点文件导入功能,支持定义像控点文件格式。
3、激光雷达点云处理默认的输出坐标系修改为 UTM 投影坐标系,根据基站中心点判断投影带。
4、优化 OSGB、OBJ 和 PLY 模型成果文件结构和文件名,适配更多后端软件(如修模软件)。
5、兴趣区域界面的三维模型显示由透视投影变为正交投影(平行投影)。
6、二维可见光重建(农田场景、果树场景)及二维多光谱重建适配安培显卡框架(RTX30 系列)。
7、三维模型分块重建增加单块重建失败后重试两次的机制(若重试两次失败则跳过),可提高重建成功率。
8、重建错误提示优化,一键导出日志。
9、精细化巡检航线新增适配机型。
10、支持单机重建设置「被摄物体距离」参数。
11、优化光照差异比较大的数据源在二维重建时成果的色彩一致性。
12、优化 Windows 11( 64 位)操作系统的使用体验。
13、优化实时重建的稳定性、重建精度及色彩一致性。
14、优化部分输出坐标系下激光雷达点云任务的重建速度。
慧飞无人机应用技术培训中心,是全球无人机领军企业——大疆创新DJI的全资子公司,为客户提供无人机培训服务。
慧飞采用国内首个专注于无人机应用技能的UTC培训体系,该体系由中国航协通航分会推出。
让客户将先进的无人机技术应用在工作中,获得领先的效率、安全性与成果。
慧飞在近年来陆续为新华社、中央人民广播电台、国家电网、南方电网、各地公安局等国家大型机关企事业单位提供人员培训服务。


