本文内容转载自《激光杂志》2019年第5期,版权归《激光杂志》编辑部所有。
王海群,王水满,张怡
华北理工大学电气工程学院
摘要:激光雷达有探测距离远,鲁棒性强等特点,将激光雷达作为无人机的传感器,并对传统的矢量场直方图算法(VFH)进行了改进。用激光雷达数据作为依据,提出了一种改进自适应阈值策略,使用阈值评价函数,对可选范围内的每组阈值进行综合评价,使得无人机能够选取适合当前情况的阈值。实验结果表明,存在障碍物环境中,无人机可以寻得较短的路径和较快的时间,安全无碰撞的到达目标点,避障精度可达96.7%,并且无人机姿态的实时反馈控制也满足避障的要求。
关键词:激光雷达;无人机;VFH;直方图
0 引言
避障问题一直是无人机的热点研究问题,现如今人们对局部避障有很多成熟的算法,如人工势场法、栅格法、可视图法等,每个算法的优缺点也不一样,其中,向量场直方图法(VFH)在机器人避障表现出良好的性能。VFH是一种由人工势场法改进而来的机器人导航算法,广泛应用在机器人的实时避障当中。VFH算法解决了虚拟势场法VFF容易陷入局部极小值,狭窄通道存在震荡的问题。但该算法未考虑机器人的尺寸以及动力学和运动学特性。为了改进VFH算法缺点,文献4提出了改进VFH*算法,另外,还有许多研究者考虑到障碍物存在速度的问题提出了VFH*算法,学习动态环境避障。文献6设计了基于动态阈值的局部循环跳出机制以克服固定阈值所带来的问题。通过分析会发现算法的提出都和当时的设备有关,设备精度低对障碍物检测不完全可靠,不得不提出各种的数据处理的方法。现如今激光雷达的精度完全能满足要求。对此,对此,本文以二维激光雷达为传感器,采用改进的VFH算法,实现了一种自适应阈值策略,提高了在无人机飞行过程中的避障性能。
1 激光雷达特点
激光雷达结合了激光技术与雷达技术,利用激光发出光波信号进行测量,激光雷达的工作方式与微波雷达类似。相对于传统的探测技术而言,激光雷达有着精度高,抗干扰能力强等特点。
2 改进的VFH算法
激光雷达所采集的数据是在极坐标下激光雷达与障碍物之间的距离,通过VFH算法将无人机周围存在的障碍物进行量化表示并根据不同障碍物距离赋予不同的障碍强度值。无人机会在小于确定的阈值的范围内选择其移动的方向。但是阈值的确定需要根据无人机的实际飞行状态决定,没有统一的方法。如图1所示,阈值过大时会有一些能够通过的路径被忽视,使无人机不能发现道路,从而找不到目标点;如图2所示,阈值过小,会使无人机无法发现前方的障碍物,来不及躲避发生碰撞。
图1 阈值过大
图2 阈值过小
2.1 坐标变换
利用二维激光雷达作为传感器来采集数据,根据激光雷达采集到的数据信息生成所需要的环境信息,根据所生成的环境信息建立以激光雷达为中心的直角坐标系。为了使无人机能够安全避障,需要对全局直角坐标系与极坐标之间进行坐标转换。图3为坐标系的变换规则。
α为无人机在直角坐标系中行进方向的角度,β为极坐标系下与直角坐标系下的坐标变换角。
式(2)为极坐标系航向角与直角坐标系航向角的转换关系。如图3所示在极坐标系下的障碍物A方向角为O,根据公式(2)可以得出直角坐标系下的方向角Φ。
图3 直角坐标与极坐标的转换
2.2 阈值的选取
经过以上分析阈值过大会忽视一些可通过的路径,阈值过小可能会发生碰撞,因此针对传统VFH算法固定阈值敏感的问题,本文提出一种自适应阈值策略。
(1)假设无人机飞速度为v,匀减速加速度为α,无人机减速到速度为零时所进行的位移D为
式(4)中Lmax激光雷达的最远离,dth最优阈值,λ安全系数,RT激光雷达到达无人机边缘的距离。
(2)设置初始阈值,其中dmax(最大阈值)和dmin(最小阈值),一般选取的最大阈值应略小于激光雷达扫描的最大距离.取dmin=λ(D+ RT)。
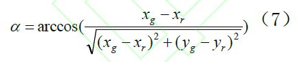
(3)选取合适的步长△d,对于区间[dmin,dths 式中(c,kt)可选方向与目标点的夹角,(c,kr)可选方向与当前方向的夹角∆(c,kbt)可选方向与上一次运动方向的夹角,u1+u2 在求解的所有dthi中,求得代价函数函数值最小的一项对应的dthi即为最优阈值。 2.3 自由扇区与转向的确定 首先需要对激光雷达采集到数据生成环境信息,在根据环境信息确定无人机可通过的扇区区间,在可通过的扇区区间中选取一个最合适的区间,为无人机行进的方向。 (1)自由扇区的选取 定义在极坐标环境信息中,如果θ角度方向的距离d小于等于ds且dd小于无 人机的宽度,则该区域称为峰扇区:否则为谷扇区。其中,dd的定义如下: 其中,φ为包ds并且大于ds区域的角度值。 根据上述定义确定的自由扇区,就是无人机可以通过的方向。 (2)平台转向方向的确定 以激光雷达为中心的直角坐标系下,利用式(6)计算目标点与无人机的夹角α,如图4所示。 在公式(7)中,(xg,yg)和(xr,yr)为在直角坐标系下的距离目标点的距离。 图4 测量位置关系图 如图4从测量位置关系图可以看出,在无人机的前方共有三个障碍物,均可以通过θ1,θ2,θ3,θ4 4个方向到达目标点。通过比较可知与目标点方向接近的方向有两个分别为:θ2与θ3。根据自由扇区选取的定义可知,θ2与θ3都是自由扇区,均可作为无人机的飞行方向。然后分别计算两个候θ2与θ3与目标点方向之间的角度β1,β2,通过比较到达目标点距离近的自由扇区为最终的方向。θ3扇区到达目标点的距离比θ2扇区到达目标点的距离更近,因此,θ3扇区是无人机的最终行进的方向。 (3)转向角度的计算 如图4在建立了激光雷达极坐标环境地图之后,无人机的行进方向为Φ。 αl为θ3扇区的终止方向O2的角度,α2为θ3扇区的起始方向O1的角度。 最终航向为: 3 实验分析 根据上述算法的规则,设计无人机避障实验,激光雷达采用的是川杉机器人公司的Delta3。激光雷达参数如表1所示,激光雷达和无人机如图5所示。 表1 激光雷达的相关参数 图5 激光雷达与无人机 为了测试本文的方法,文献11和文献12进行对比实验,如图6所示。图6中障碍物之间距离均满足阈值要求,本文方法根据障碍物检测结果对无人机移动方向和速度进行不断调整,无人机可以较好无碰撞的避开障碍物,并准确到达目标点。表2所示所本文方法行进的距离更短,时间更短,说明本文方法寻得的路线更优。为了验证避障精度进行30次避障实验,文献11成功避障22次,文献12成功避障26次,本文方法成功避障29次,精度可达96.7%。与文献11和文献12两种方法进行了对比,本文方法结果更为精确性能更优。 图6 避障结果示意图 表2 与其他方法的对比 为了测试无人机避障时的姿态误差,以陀螺仪的姿态系统与采用激光雷达的姿态系统相比较如图7,图8,图9。 图7 无人机的位置偏移 图8 滚转角与俯仰角误差 图9 无人机航向误差 图7表明无人机的位置偏移表明无人机的位置偏移均保持在1cm之内,图8分别为滚转角误差和俯仰角误差,表明其误差也均在0.2︒以内,图9为无人机航向误差,其误差范围在1︒以内。均比陀螺仪的姿态系统误差小。因此,利用激光雷达作为传感器,无人机在避障的过程中姿态控制有较高精度,能够满足避障控制要求。 4 结论 本文以激光雷达为传感器设计了一种无人机的避障方法。该方法计算效率高,鲁棒性强,对误读不敏感等优点。针对传统VFH阈值敏感问题,提出了一种结合阈值评价函数的自适应阈值策略。实验结果表明,利用激光雷达获取的环境信息并结合改进VFH算法满足避障精度要求,精度可达96.7%,能够使无人机安全的到达目标点,并且无人机姿态的反馈控制的精度也满足避障控制的要求。该方法适用于无人机的实时避障规划。




























