四旋翼无人机发展这么过年,无论在技术程度还是产品形态,都已经十分成熟,早就已经是民用无人机的主流形态,而这几年一种新形态的无人机,在市场上似乎开始初露头角,那就是双旋翼无人机。
对于双旋翼无人机更高效这一论题,其实早有人在讨论,当然论述的出发点不一,大多数人对于这一论题最直接的看法就是“只是因为少了两个旋翼”,实际情况当然不只这么简单。
要谈无人机的效率问题,首先要知道影响无人机效率的两个重要因素——能量(或“力”)和消耗。
任何物体的运动一定是基于在有效的“力“的作用下才能产生。如果在消耗恒定的情况下,双旋翼无人机,在少了两个旋翼动力的情况下,想要起飞,必须要有足够的力支撑。具体原理相信大概了解无人机朋友都会清楚,这里就不再赘述。
这个问题其实很好解决——将桨叶做大!相同转速下,桨叶越大,力越大。
我们再说消耗,也就是对能量或力的消耗。影响无人机能量消耗的主要因素主要在两个方面,首先是无人机飞行时重量产生的重力、其次是飞行时遇到的气流阻力。
双旋翼无人机因为减少了电机数量,首先在机身重量上得到了降低;另外再加上减少了另两个旋翼的动力消耗,使其整体的消耗大幅度降低。
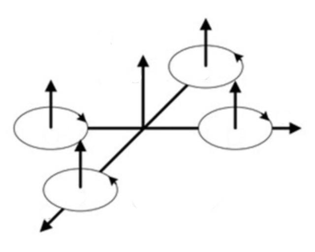
四旋翼无人机靠四个旋翼同时相互反方向转动,通过相互力的抵消,保证飞机有足够力进行向上运动的同时,最重要的是要维持飞机的稳定和平衡,对比双旋翼无人机,消耗也会更大。
双旋翼无人机既能保证更加充足的动力,又降低了整体的飞机消耗,进而整体效率得到了提升。对无人机使用者来说,也会更节省无人机的能量,续航时间也会更长。
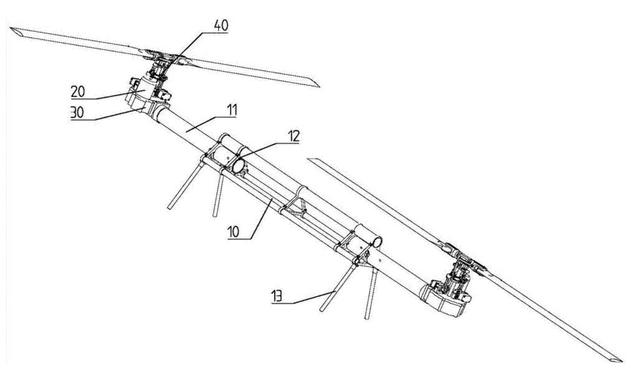
但是双旋翼无人机想要方向飞行,或旋转运动,仅仅靠增大桨叶是没用的。因此可以在双旋翼的基础上,采用倾转舵面结构设计,靠旋翼的轻微倾转来进行方向飞行。
双旋翼无人机向前飞行时,桨面向前倾转,在飞行中的无人机可以将升力快速转化成向前的牵引力,双旋翼无人机效率会更高,加速度也会更快。转弯时,依靠舵机差动控制,可以借助升力分量转弯,可以有更多的力用在转角力上,转弯速度也会更快,飞行会更加灵活。
四旋翼无人机,靠的是改变前后旋翼转速,获取牵引力;靠改变对角旋翼转速,获取转角力,对比下来效率就会低很多。
回到效率这一论点上,双旋翼对比四旋翼无人机,在方向运动或旋转运动时,有更充足的力用在方向运动或旋转运动上,因此效率会也会更高。
总结一下,双旋翼无人机因为独特优势的旋翼结构,让其更有效率,带来的最直接的好处就是在续航和机动性上,带来更多优势,会给无人机的发展和应用空间,带来更多可能。
那么双旋翼既然这么香,为什么主流还是四旋翼?原因有两个:
第一、双旋翼无人机的飞控算法非常复杂,不仅要考虑旋翼的控制,还要结合舵机倾转等方面的协调;
第二、快速成长的无人机市场,四旋翼在成本和稳定性上会更可控,开创一个新的形态,这个对于厂商而言成本太高了,同样能赚钱,当然还是选择更稳妥的方式,不过这也导致了,无人机市场似乎出现了一点内卷化的趋势。
不过,早在2019年底、2020年初,一家叫零零科技的公司曾率先发布过一款倾转舵面双旋翼结构的无人机,不久前极飞也发布的双旋翼的农业植保无人机,我们似乎也看到了这种更高效双旋翼的星星之火,终于闪现出了微弱的星光。
至于未来究竟如何,我们可以一起期待。





















